ATO compact and small linear actuator come in force of 500N, 750N, 1600N, maximum load capacity up to 2500N, speeds of 24mm/s, 18mm/s, 12mm/s, rated speed at full load is 4.7mm/s and stroke size range from 50mm to 450mm for selection.
Electric Linear Actuator Specifications
| Model |
ATO-DJ820 |
| Max. Dynamic Load |
2500N |
| Max. Self-locking |
3500N |
| Input Voltage |
12V DC, 24V DC, 36V DC, 48V DC (Option) |
| Rated Power |
0.25kW |
| Rated Speed |
4000 rpm |
| Lead Screw |
Acme Screw |
| Operation Mode |
Electrical |
| Stroke Range |
50-1000mm |
| Duty Cycle |
25% |
| Motor Type |
Brushed DC |
| Application |
Industrial |
| Operational Temp. |
-10℃ to 65℃ |
| Operating Noise |
≤65 dB |
| Weather Protection |
IP66 |
| Overload Protection |
None (standard) |
| Position Feedback |
None (standard), Endstop signal, Hall sensor for optional |
| Weight |
2.5kg |
Linear Actuator Load and Speed Selection
| Code |
Max. Dynamic Load |
Max. Self-locking |
Reduction Ratio |
Pitch |
Speed±10% (mm/s) |
Max. stroke without potentiometer |
| (N) |
(N) |
- |
(mm) |
Free Load |
Full Load |
(mm) |
| A |
2500 |
3500 |
86:1 |
3.17 |
2.5 |
1.8 |
300 |
| B |
2000 |
3000 |
86:1 |
5 |
4 |
3 |
400 |
| C |
1500 |
2500 |
86:1 |
7.5 |
6 |
4 |
400 |
| D |
1200 |
2000 |
43:1 |
5 |
8 |
6 |
500 |
| E |
1000 |
1500 |
43:1 |
7.5 |
12 |
8 |
500 |
| F |
500 |
700 |
43:1 |
15 |
22 |
17 |
600 |
Note:
- Measurements are made with actuators in connection with stable power supplies and ambient temperature at 20°C.
- For example, when real load is 1500N, choosing code (C) is fine. Of course, you can also choose (B) or even (A) which comes with more load buffer, higher safety factor and longer product service time.
- There are many factors affecting the "customizable maximum stroke", such as load, speed, force direction, etc., so the real application scenarios should be considered. If the parameters you required are not listed, please contact our sales engineers.
Linear Actuator Standard Dimension (mm)

- S=30~299mm, L+0mm
- S=300~399mm, L+30mm
- S≥400mm, L+50mm
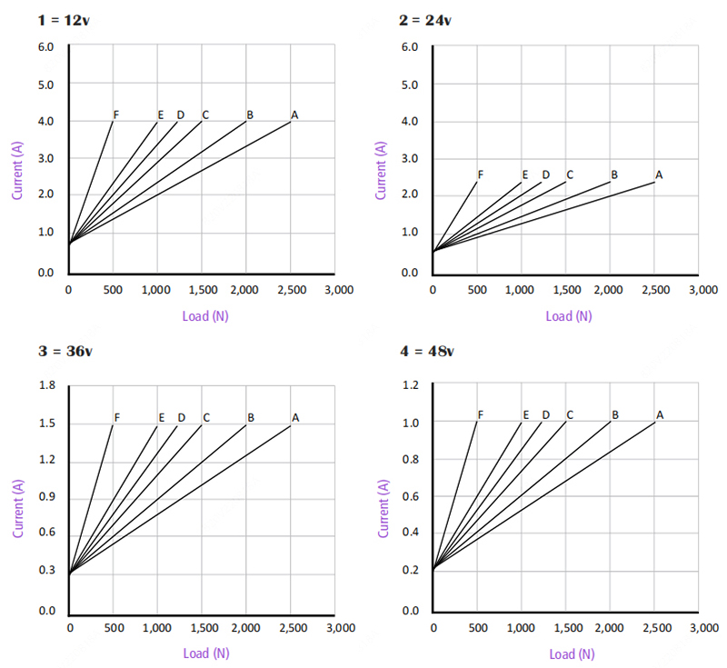
12V/24V/36V/48V Linear Actuator Current-Load Curve

Tips: Medical linear actuator for multifunctional electric medical bed
Multifunctional electric medical beds are mainly designed for some patients with severe injuries and lack of basic action capability. Therefore, multifunctional electric medical beds have lifting systems in many places. Moreover, it has an integrated remote control for the convenience of the patient or its family, so the linear actuator is essential here.
Main functions of linear actuator:
- Lift up and down: adjust the bed height randomly in the space of 1-20cm according to the height of the medical care staffs and clinical needs.
- Back lifting and falling
- Leg lifting and falling
- Incline front and back: can incline randomly in the scope of 0°-12°, convenient for the inspection, treatment and care (such as: sputum aspiration and gastric lavage and so on) of the patents after operation and critical patents.
In the multifunctional electric medical bed, the medical linear actuator is a small-sized DC push rod motor with extremely strong thrust, so it is widely used in medical and home care equipment, such as the multifunctional electric medical bed and home care equipment. The appearance of the electric medical bed not only improves the rehabilitation level of the patient, the safe and reliable straight line movement of the linear actuator can also bring conveniences to patients and care staffs. The operation of the lifting motor can be controlled by pressing the lifting button only to raise or lower the bed surface, and enable it to move up and down in the range of 50-700mm (can customize the stroke).